Thin oxide films with high dielectric constants, often referred to as high-k dielectrics, are of paramount importance for complementary metal oxide semiconductor (CMOS) device technology. These materials have replaced SiO2 in the field effect transistor, the heart of central processor units, in the metal–insulator–metal capacitors of volatile dynamic random access memory, and in the floating gate transistors of non-volatile flash memory devices. The integration of high-k dielectrics into modern nanoelectronics has ensured the exponential increase of transistor packing density in integrated circuits beyond the 45 nm technology, further lowering power consumption and increasing operation speed in every subsequent generation of devices.
Among various materials, rare earth (RE) sesquioxides (RE2O3) have been extensively investigated for applications as high-k dielectrics. Specifically, Eu2O3 with a layer thickness of 3 nm has demonstrated superior performance as a charge-trapping high-k dielectric in low temperature polycrystalline silicon thin-film transistor nonvolatile memory devices.
The dielectric constant of a solid consists of an electronic and a lattice component. While the electronic component depends on the refractive index and thus is inherently small, the lattice component is a function of the optical phonons and is responsible for the high values of this property. The atomic vibrations in thin and ultrathin films, however, deviate significantly from the bulk counterparts, which affects the dielectric constants. Therefore, reaching a fundamental understanding of the atomic vibrations in ultrathin high-k films is crucially important for their applications in e.g. nanoelectronics.
Thin oxide films with high dielectric constants, often referred to as high-k dielectrics, are of paramount importance for complementary metal oxide semiconductor (CMOS) device technology. These materials have replaced SiO2 in the field effect transistor, the heart of central processor units, in the metal–insulator–metal capacitors of volatile dynamic random access memory, and in the floating gate transistors of non-volatile flash memory devices. The integration of high-k dielectrics into modern nanoelectronics has ensured the exponential increase of transistor packing density in integrated circuits beyond the 45 nm technology, further lowering power consumption and increasing operation speed in every subsequent generation of devices.
Among various materials, rare earth sesquioxides (RE2O3) have been extensively investigated for applications as high-k dielectrics. Specifically, Eu2O3 with a layer thickness of 3 nm demonstrated superior performance as a charge-trapping high-k dielectric in low temperature polycrystalline silicon thin-film transistor nonvolatile memory devices.
The dielectric constant of a solid consists of an electronic and a lattice component. While the electronic component depends on the refractive index and thus is inherently small, the lattice component is a function of the optical phonons and is responsible for the high values of this property. The atomic vibrations in thin and ultrathin films, however, deviate significantly from the bulk counterparts, which affects the dielectric constants. Therefore, reaching a fundamental understanding of the atomic vibrations in ultrathin high-k films is crucially important for their applications in e.g. nanoelectronics.
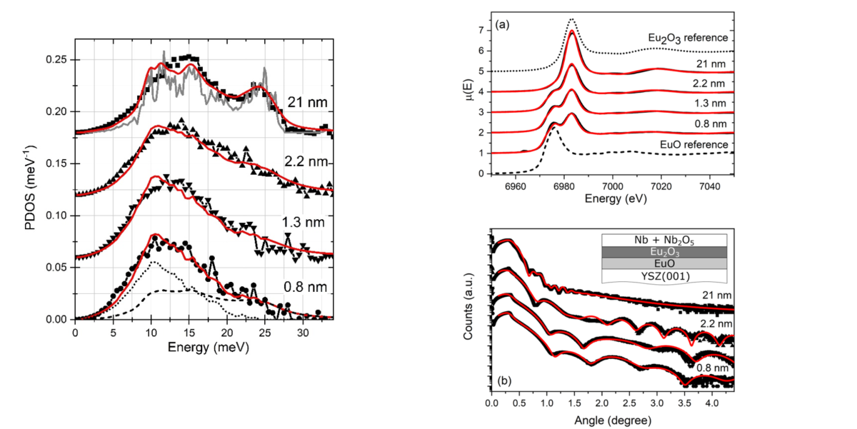
We investigated the Eu-partial phonon density of states (PDOS) of ultrathin Eu2O3 films using nuclear inelastic scattering at the ESRF in Grenoble. Eu2O3 films with thickness of 21, 2.2, 1.3 and 0.8 nm were deposited on YSZ(001) substrates and covered by a Nb layer to protect them from further oxidation and to mimic the spatially confined geometry of the gate dielectric in a planar transistor.
![]()  | 
		||
| Fig.1 Eu-partial PDOS of the Eu2O3 films. The solid gray line stands for the ab initio calculated PDOS of a bulk Eu2O3 crystal with cubic symmetry. The dashed line corresponds to the gray-line PDOS, convoluted with the damped harmonic oscillator with a quality factor Q = 5. The dotted line stands for the Eu-partial PDOS of an EuO film with a thickness of 2.0 nm. The red lines depict the model. | Fig.2: XANES and (b) XRR data of the samples investigated. The red lines indicate the corresponding simulations. The inset in (b) depicts the model used for the fit of the XRR data (S. Stankov et al.). | |
The experimental data, shown in Fig. 1 reveal drastic anomalies in the PDOS of the thin films, compared to the 21 nm thick, bulk-like sample. Specifically, the number of phonon states at low energy is significantly enhanced, whereas the high-energy phonon states are suppressed. This effect could potentially reduce the dielectric constant of the films and decrease their performance as gate layers in nanotransistors.
To elucidate the sources of these anomalies, X-ray absorption near edge structure (XANES) and X-ray reflectivity (XRR) measurements were performed at the KIT- synchrotron. Analysis of the XANES data using reference samples, Fig. 2(a), unexpectedly revealed the presence of EuO - a ferromagnetic semiconductor in the samples, whereas a fit of the XRR data, Fig. 2(b), unambiguously demonstrated that the EuO layer is formed at the interface between the Eu2O3 film and the YSZ(001) substrate. Whereas the EuO layer leads to the enhanced number of states at low energy, the broadening and strong suppression of the high-energy states originates from lattice defects in the Eu2O3 film.
These findings allowed for a comprehensive understanding of the observed anomalies in the phonon density of states of the samples investigated. More importantly, the present results demonstrate that in addition to spatial confinement, structural disorder, surface- and interface- specific vibrational modes, sub-nanometer-thick layers exhibiting exotic crystal phases that might form at the interface between two materials constitute a source of novel vibrational dynamics of thin films. Moreover, the targeted embedment of such ultrathin layers might be a successful approach towards ultimately engineered heterostructures for phononic applications.
Publications
S. Stankov, D.G. Merkel, J. Kalt, J. Göttlicher, J. Łażewski, M. Sternik, P.T. Jochym, P. Piekarz, T. Baumbach, A.I. Chumakov, and R. Rüffer,
Phonon confinement and interface lattice dynamics of ultrathin high-k rare earth sesquioxide films: the case of Eu2O3 on YSZ(001), Nanoscale Adv. 4, 19 (2022), DOI: https://doi.org/10.1039/D1NA00728A
J. Łażewski, M. Sternik, P.T. Jochym, J. Kalt, S. Stankov, A.I. Chumakov, J. Göttlicher, R. Rüffer, T. Baumbach, and P. Piekarz,
Lattice dynamics and structural phase transitions in Eu2O3, Inorg. Chem. 60, 9571 (2021), DOI: https://doi.org/10.1021/acs.inorgchem.1c00708
R. Pradip, P. Piekarz, D. G. Merkel, J. Kalt, O. Waller, A. I. Chumakov, R. Rüffer, A. M. Oleś, K. Parlinski, T. Baumbach and S. Stankov,
Phonon confinement and spin-phonon coupling in tensile-strained thin EuO films, Nanoscale 11, 10968 (2019), DOI: https://doi.org/10.1039/C9NR01931F
                
